$Description$
$Ahri$得到了一个$(h+1) × (w+1)$的巧克力,这意味着她横着最多可以切$h$刀,竖着最多可以切$w$刀。
她想总共切$K$刀,每刀要么竖着切要么横着切,如果竖着切了$i$刀,横着切了$j$刀,会得到$(i+1) × (j+1)$个巧克力,定义一个切$K$刀的方案的代价是每一刀切完后巧克力个数之和,假设每刀切的位置是随机选择的(即剩余能切的位置等概率随机选一个),请你求出期望代价,对$1e9+7$取模
$Solution:$
做法一:
参考xjh大佬的博客
我们把答案的每一部分分开来考虑
每一部分对答案的贡献就是这一部分能算进答案里的方案数$×$这部分的价值
显然这里的每一部分就指的是横着切$i$刀,竖着切$j$刀
这一部分的价值横着切i刀,竖着切j刀的价值很好求,就是$(i+1)(j+1)$
无论怎么切,这一部分的价值都是$(i+1)(j+1)$
难点在于求这一部分能算进答案里的方案数
我们把所有方案都画出来,就会清楚的发现怎么求了
方案数就是能走到这个状态的方案数$×$这个状态走到结束状态的方案数(简称来的状态和去的状态)
来的状态就是$A^i_h\times A^j_w\times$(不同的切横切竖的顺序),$A^i_h\times A^j_w$比较好理解,但对(不同的切横切竖的顺序) 不知道怎么求
我们稍微转换一下:有$i$个$0$(相当于横切),$j$个$1$(相当于纵切),问用它们构成一个长为$i+j$的$01$串的方案数,答案就相当于有$i+j$个位置,选$i$个位置放$0$,剩余位置放$1$的方案数,即$C^{i}_{i+j}$。
去的状态就是$A^{k-i-j}_{n-i-j}$
贴上$xjh$大佬的代码:
1 |
|
做法二:
概率期望$DP$(菜鸡我的做法)
下文中读入的$h,w$,分别设为$n,m$
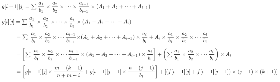
设$g[i][j]$为切了$i$刀,有$j$刀是横向切的的期望,纵向切的刀数$k$显然$=i-j$
显然$g[i][j]=\sum f*val$,此处$f$表示其中一种切法的概率,$val$这种切法能得到的价值和。
我们去掉$val$,设$f[i][j]=\sum f$
对于$f$数组的转移显然不难,$f[i][j]=f[i-1][j]\times \dfrac{m-(k-1)}{n+m-i}+f[i-1][j]\times \dfrac{n-(j-1)}{n+m-i}$
但是$g$数组的转移就不简单了,我们考虑当前的$g[i][j]$如何从上一个状态转移过来。
之前说过$g[i][j]=\sum f*val$
$\qquad \qquad \qquad $$=f[i][j]\times (j+1)\times(k+1)$
我们假设

就这样,式子就推出来了
$ans=\sum\limits_{i=1}^{n} g[K][i]$
答案的寻找范围显然
1 |
|
其他做法
此外还有复杂度跟我的做法一样,但实现更简单一些的$DP$;
并且用$FFT$优化$xjh$大佬的$O(nlogn)$做法和一种$O(logK+logn+logm)$的神奇做法。